Methodik zur Erstellung des internationalen RSF-Pressefreiheitsindex

Der Index dient dazu, den Grad der Pressefreiheit für Journalismus und Medien in 180 Ländern und Gebieten zu vergleichen. Reporter ohne Grenzen (RSF) und das Expertengremium stützen sich bei der Erstellung des Index auf folgende Definition von Pressefreiheit:

“Pressefreiheit ist definiert als die Fähigkeit von Journalistinnen und Journalisten – sowohl als Einzelpersonen als auch als Gruppe -, Nachrichten im öffentlichen Interesse auszuwählen, zu erstellen und zu verbreiten, und zwar unabhängig von politischen, wirtschaftlichen, rechtlichen und gesellschaftlichen Einflüssen und ohne dass ihre körperliche und psychische Unversehrtheit bedroht ist.”

Auf der Grundlage dieser Definition sind der Fragebogen zur Pressefreiheit und die Karte in fünf verschiedene Kategorien oder Indikatoren unterteilt: Politischer Kontext, rechtlicher Rahmen, wirtschaftlicher Kontext, soziokultureller Kontext, Sicherheit.

Der Index gibt einen Überblick über die Lage im Kalenderjahr vor seiner Veröffentlichung. Dennoch soll er als getreues Abbild der Situation zum Zeitpunkt der Veröffentlichung angesehen werden. Wenn sich die Lage der Pressefreiheit in einem Land zwischen dem Ende des bewerteten Jahres und der Veröffentlichung dramatisch ändert, werden die Daten daher aktualisiert, um die aktuellsten Ereignisse so weit wie möglich zu berücksichtigen. Dies kann mit einem neuen Krieg, einem Staatsstreich, einem schweren Angriff auf Journalistinnen und Journalisten oder der plötzlichen Einführung einer extrem repressiven Politik zusammenhängen.

Diese Punktzahl wird auf der Grundlage von zwei Komponenten berechnet:

  • einer quantitativen Erfassung, die im Laufe des zurückliegenden Jahres von den RSF-Teams durchgeführt wird. Sie befasst sich mit der Gewalt, der Journalistinnen und Journalisten in 180 Ländern weltweit ausgesetzt sind: Inhaftierungen, Verschleppungen, Todesfälle und Geiselnahmen. In jedem einzelnen Fall wird geprüft, ob er unter das Mandat von RSF fällt: Handelt es sich um Medienschaffende, wurden sie aufgrund ihrer Arbeit oder während ihrer Berufsausübung ins Visier genommen?
  • einer qualitativen Analyse der Lage in jedem Land oder Gebiet auf der Grundlage der Antworten von zahlreichen Fachleuten für Pressefreiheit (z.B. aus Journalismus, Wissenschaft, Menschenrechten, Zivilgesellschaft) auf einen RSF-Fragebogen (verfügbar in 25 Sprachen; auf der Basis von fünf Indikatoren). Anhand der Antworten wird für alle Befragten eine Punktzahl für jeden Indikator ermittelt. In weiterer Folge wird der Durchschnitt der Punktzahlen pro Land und Indikator berechnet. Schließlich ergibt sich aus dem Durchschnitt aller Indikatorpunktzahlen die Gesamtpunktzahl.

Karte der Pressefreiheit

Die Karte zur Pressefreiheit bietet einen visuellen Überblick über die Bewertungen aller Länder im Index. Die Farben und Einstufungen sind wie folgt zugeordnet:

  • [85–100 Punkte] gut (grün)
  • [70–85 Punkte]  zufriedenstellend (gelb)
  • [55 – 70 Punkte]  problematisch (hellorange)
  • [40 – 55 Punkte]  schwierig (dunkelorange)
  • [0 – 40 Punkte]  sehr ernst (dunkelrot)

Bewertungskriterien: fünf Kontextindikatoren

Die Punktzahl jedes Landes oder Gebiets wird anhand von fünf Kontextindikatoren ermittelt, die die Lage der Pressefreiheit in ihrer ganzen Komplexität widerspiegeln:

  • Politischer Kontext
  • Rechtlicher Rahmen
  • Wirtschaftlicher Kontext
  • Soziokultureller Kontext
  • Sicherheit

Für jeden Indikator wird eine Teilpunktzahl zwischen 0 und 100 berechnet. Alle Teilpunktzahlen fließen zu gleichen Teilen in die Gesamtpunktzahl ein. Innerhalb jedes Indikators haben alle Fragen und Unterfragen das gleiche Gewicht.

Politischer Kontext

35 Fragen und Unterfragen dienen der Bewertung:

  • des Ausmaßes an Unterstützung und Achtung der Medienautonomie gegenüber politischem Druck seitens des Staates oder anderer politischer Akteurinnen und Akteure;
  • des Grades an Akzeptanz für verschiedene journalistische Ansätze, die professionellen Standards entsprechen, einschließlich politisch orientierter und unabhängiger Ansätze;
  • des Ausmaßes an Unterstützung für die Medien in ihrer Rolle, die Politik und Regierungen im öffentlichen Interesse zur Rechenschaft zu ziehen.

Rechtlicher Rahmen

26 Fragen und Unterfragen dienen der Bewertung:

  • des Ausmaßes, in dem Journalismus und Medien frei von Zensur, gerichtlichen Sanktionen oder übermäßigen Einschränkungen ihrer Meinungsfreiheit arbeiten können;
  • der Möglichkeit, ohne Diskriminierung zwischen Journalistinnen und Journalisten Zugang zu Informationen zu erhalten, sowie der Möglichkeit, Quellen zu schützen;
  • des Vorhandenseins oder Fehlens von Straffreiheit für diejenigen, die für Gewalttaten gegen Journalistinnen und Journalisten verantwortlich sind.

Wirtschaftlicher Kontext

26 Fragen und Unterfragen dienen der Bewertung:

  • der wirtschaftlichen Zwänge im Zusammenhang mit staatlichen Maßnahmen (einschließlich der Schwierigkeiten bei der Gründung eines Nachrichtenmediums, der Begünstigung bei der Vergabe staatlicher Subventionen und der Korruption);
  • der wirtschaftlichen Zwänge im Zusammenhang mit nichtstaatlichen Akteuren (Werbetreibende und kommerzielle Partner);
  • der wirtschaftlichen Zwänge im Zusammenhang mit Medieninhaberinnen und Medieninhabern, die ihre geschäftlichen Interessen fördern oder verteidigen wollen.

Soziokultureller Kontext

22 Fragen und Unterfragen dienen der Bewertung:

  • sozialer Zwänge, die sich aus Herabwürdigungen und Angriffen auf die Presse aufgrund von Faktoren wie Geschlecht, sozialer Schicht, ethnischer Zugehörigkeit und Religion ergeben;
  • kultureller Zwänge, einschließlich des Drucks auf Journalistinnen und Journalisten, bestimmte Macht- oder Einflusszentren nicht in Frage zu stellen oder bestimmte Themen nicht zu behandeln, da dies der vorherrschenden Kultur des Landes oder Gebiets zuwiderlaufen würde.

Sicherheit

15 Fragen und Unterfragen (⅔ der Sicherheitspunktzahl) betreffen die Sicherheit von Journalistinnen und Journalisten. In diesem Zusammenhang wird Pressefreiheit definiert als die Fähigkeit, Nachrichten und Informationen unter Einhaltung journalistischer Methoden und ethischer Grundsätze zu ermitteln, zu sammeln und zu verbreiten, ohne dabei unnötigen Risiken ausgesetzt zu sein wie:

  • körperliche Gewalt (einschließlich Mord, Gewalt, Festnahme, Inhaftierung, Verschleppung und Entführung);
  • psychische oder emotionale Belastung, die durch Einschüchterung, Nötigung, Belästigung, Überwachung, Doxing (Veröffentlichung persönlicher Informationen in böswilliger Absicht), erniedrigende oder hasserfüllte Äußerungen, Verleumdungen und andere Drohungen gegen Journalistinnen und Journalisten oder deren Angehörige entstehen kann;
  • beruflicher Schaden (zum Beispiel der Verlust des Arbeitsplatzes, die Beschlagnahmung von Arbeitsmitteln oder die Plünderung von Einrichtungen).

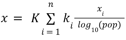
Der Missbrauchswert (⅓ des Sicherheitswerts) wird anhand der von RSF erfassten Fälle von Missbrauch gegen Medien sowie Journalistinnen und Journalisten im Zusammenhang mit ihrer Arbeit nach folgender Formel berechnet:

Wobei x die gewichtete Summe der Missbrauchsfälle in einem Land oder Gebiet im Kalenderjahr vor der Indexierung im Verhältnis zum dezentralen Logarithmus der Bevölkerungszahl ist:

Dabei gilt:

  • pop ist die Bevölkerungsgröße;
  • jedes xi steht für die Anzahl der Übergriffe in einer Kategorie (Morde, körperliche Angriffe usw.);
  • jedes ki steht für den dieser Kategorie zugeordneten Koeffizienten;
  • n ist die Anzahl der Kategorien, für die Übergriffe registriert wurden;
  • K ist der Koeffizient, der als mathematisches Mittel verwendet wird, um eine Punktverteilung im Bereich von 0 bis 100 zu erstellen. Er beträgt 0,15.

Diese Funktion wurde aus folgenden Gründen gewählt:

  • Wenn in einem Land in einem bestimmten Jahr keine Übergriffe gegen Journalisten registriert werden, beträgt der Übergriffswert 100.
  • Wenn die Anzahl der Übergriffe zunimmt, sinkt der Wert und tendiert gegen 0.

Datenerhebung

  • RSF sammelt weltweit kontinuierlich Informationen über Übergriffe auf Journalistinnen und Journalisten im Zusammenhang mit ihrer Arbeit.
  • Die Informationen über Journalistinnen und Journalisten, die als Geiseln festgehalten, inhaftiert, getötet wurden oder vermisst werden, werden täglich im Pressefreiheitsbarometer von RSF aktualisiert.

Wahl der Koeffizienten

Die Ki-Koeffizienten legen eine Hierarchie der verschiedenen Arten von Verstößen fest. Folgende Hauptstufen der Schwere werden unterschieden:

  • Verstöße, die kein unveräußerliches Recht gemäß dem gemeinsamen Artikel 3 der vier Genfer Konventionen verletzen (Koeffizient 1): Plünderung, Zerstörung, Schließung oder Einstellung eines Medienunternehmens.
  • Verstöße, die gegen ein unveräußerliches Recht gemäß dem gemeinsamen Artikel 3 der vier Genfer Konventionen verstoßen: Entführung oder Verschleppung (Koeffizient 50), Inhaftierung (Koeffizient zwischen 25 und 50, je nach Dauer der Inhaftierung), Mord (Koeffizient 100).

Kategorie der Rechtsverletzung (xi)Koeffizient (ki)
Mord   100
Entführung50
Verschwindenlassen50
Inhaftierung für > 10 Jahre*50
Inhaftierung für 9-10 Jahre*47.5
Inhaftierung für 8-9 Jahre*45
Inhaftierung für 7-8 Jahre*42.5
Inhaftierung für 6-7 Jahre*40
Inhaftierung für 5-6 Jahre*37.5
Inhaftierung für 4-5 Jahre*35
Inhaftierung für 3-4 Jahre*32.5
Inhaftierung für 2-3 Jahre*30
Inhaftierung für 1-2 Jahre*27.5
Inhaftierung für < 1 Jahr*25
Medien durchsucht, zerstört, geschlossen oder eingestellt1

*Hausarrest wird in den Daten als Haft gezählt.

Quellen für Bevölkerungsdaten

Zur Berechnung des Missbrauchswerts wird die Bevölkerungszahl des jeweiligen Landes oder Gebiets herangezogen. Es werden die von der Weltbank veröffentlichten Bevölkerungszahlen verwendet, außer in den folgenden Fällen, in denen die Quelle angegeben ist:

  • Taiwan: örtliches Statistikamt;
  • Zypern: Eurostat;
  • Nordzypern: Weltbank-Angabe zur Gesamtbevölkerung der Insel Zypern abzüglich der Eurostat-Angabe zur Bevölkerung des Teils von Zypern, der EU-Mitglied ist;
  • Montserrat, Mitglied der OECS: örtliche Regierung.

Jährlich aktualisierte regionale Analysen beleuchten die Trends der jeweiligen Ausgabe und liefern zusätzliche Informationen. Die Platzierung und die Lage der Pressefreiheit in jedem der 180 Länder des Index werden zudem in Länderprofilen detailliert dargestellt, die auf der Website eingesehen werden können.

Regionale Analysen

Afrika

Amerika

Asien-Pazifik

Europa – Zentralasien

MENA